(解答)
  剛体
のy軸に対する角度を
とする。
剛体
の重心
の座標
およびその速度
の2乗は、
となる。
ここで、剛体
の運動エネルギー
および位置エネルギー
は、
となる。
この多重剛体振り子のラグランジュ関数
は、
となる。
このラグランジュ関数
から
に関するラグランジュ運動方程式をたてるには、
以下の関係式を用いればよい。
これを具体的に求めると、
但しここで、
ゆえに、
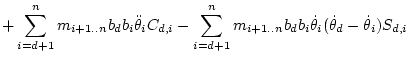
に関するラグランジュ運動方程式は、
となる11。 
これを連立1階微分方程式にするために、この2階微分方程式を以下のように表す。
  | 
(196) | 
 
さらに、
とおくことにより以下の連立1階微分方程式を得る。
但しここで、
である。 
また、各々の角速度に比例する抵抗などの減衰
や強制振動のような外力
がある場合は、
それぞれに対する減衰定数を
、外力を
とすると、
に関するラグランジュ運動方程式は式
(199)から、
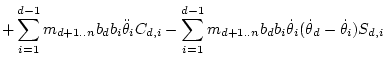
となる12。 
よって、式(201),(202)に対応する減衰
や外力
がある場合の連立一階微分方程式は以下のようになる。
但しここで、
である。 
[補足] ハミルトンの正準方程式の導出
ここで、運動エネルギー
を以下のように表す。
  | 
(206) | 
 
但しここで、
である。すると、角運動量
は、
と表される。ハミルトニアン
は
  | 
(207) | 
 
であり、ハミルトニアン
からハミルトンの正準方程式を得るには以下
の関係式を用いればよい。
ちなみに
は、前述の抵抗や外力がある場合は、
![\begin{displaymath}
\bm{F} = \left[\begin{array}{c}
\vdots\\
\sigma_d
- \lambda_d\dot\theta_d
\\
\vdots
\end{array} \right]
\end{displaymath}](present-img302.gif)  | 
(210) | 
 
さもなくば
(
)である。
具体的に求めると、ハミルトンの正準方程式は以下のようになる。
 
[発展] 動座標系におけるラグランジュ運動方程式及びハミルトンの正準方程式の導出
が時変の位置
によって動くことに
より、振り子が強制振動される場合を考える。
番目の質点の位置ベクトルを
として、この
動座標系における運動エネルギー
は、
  | 
(212) | 
 
となり、位置エネルギー
は、
  | 
(213) | 
 
となる。ここで、
とおくと、ラグランジュ関数
は
より、
  | 
  | 
  | 
(214) | 
 
となり、ラグランジュ運動方程式は、
  | 
(215) | 
 
となる。但しここで、
![\begin{displaymath}
\frac{\partial \bm{p}_O}{\partial t}
=
\left[\begin{array...
...dot\Gamma_y\sin\theta_i\right)}\\
\vdots
\end{array}\right]
\end{displaymath}](present-img367.gif)  | 
(216) | 
 
である。
この場合の角運動量
は、
であるので、
より、ハミルトニアン
は、
  | 
(217) | 
 
であり、ハミルトニアン
からハミルトンの正準方程式を得るには以下
の関係式を用いればよい。但しここで、
![\begin{displaymath}
\frac{\partial}{\partial \bm\theta}\left( \bm{p}_O^\top \dot...
...os\theta_i\right) \dot\theta_i}\\
\vdots
\end{array}\right]
\end{displaymath}](present-img311.gif)  | 
(220) | 
 
である。
- ...
となる11
 
- 確認のために
として書き下すと、確かに式
(16),(17)に対応する。
 
- ...
となる12
 
- 確認のために
として書き下すと、確かに式
(26),(27)に対応する。
 
 
 
   
このサイトについてのご意見ご要望は 
taiji@aihara.co.jp までお願いします。 
 Copyright (C) 1996-1998,2003-2004 Taiji Yamada, AIHARA Electrical Engineering Co., Ltd.
 All rights reserved.